Contoh Cerpen Singkat Dan Unsur Intrinsik

Contoh cerpen singkat dan unsur intrinsiknya, contoh cerpen singkat dan unsur intrinsiknya dan ekstrinsik, contoh cerpen singkat dan unsur intrinsiknya, contoh cerpen singkat dan unsur intrinsiknya dan ekstrinsik, contoh cerpen singkat dan unsur intrinsiknya, contoh cerpen singkat persahabatan, contoh cerpen singkat pendidikan, contoh cerpen singkat pengalaman pribadi, contoh cerpen singkat tentang ibu, contoh cerpen singkat lucu, kumpulan contoh cerpen singkat, contoh cerpen singkat remaja, contoh cerpen singkat tentang persahabatan, contoh cerpen singkat, contoh cerpen persahabatan, contoh cerpen terbaik, contoh cerpen remaja, contoh cerpen pengalaman pribadi, contoh cerpen lucu, contoh cerpen anak,



Contoh Cerpen Untuk Tugas Bahasa Indonesia - Contoh 36
Contoh Cerpen Untuk Tugas Bahasa Indonesia - Contoh 36 via contoh36.blogspot.co.id


Contoh Cerpen Untuk Pelajar - Fontoh
Contoh Cerpen Untuk Pelajar - Fontoh via fontoh.blogspot.com


Contoh Cerpen Untuk Ujian Praktek - Gontoh
Contoh Cerpen Untuk Ujian Praktek - Gontoh via gontoh.blogspot.com


Contoh Cerpen Singkat Yang Menggunakan Majas - Contoh U
Contoh Cerpen Singkat Yang Menggunakan Majas - Contoh U via contohu.blogspot.com


Forex ripper trading system, rich dad poor dad stock market
Forex Ripper Trading System, Rich Dad Poor Dad Stock Market via xelenew.web.fc2.com


Contoh Cerpen Untuk Tugas Bahasa Indonesia - Contoh 36
Contoh Cerpen Untuk Tugas Bahasa Indonesia - Contoh 36 via contoh36.blogspot.com


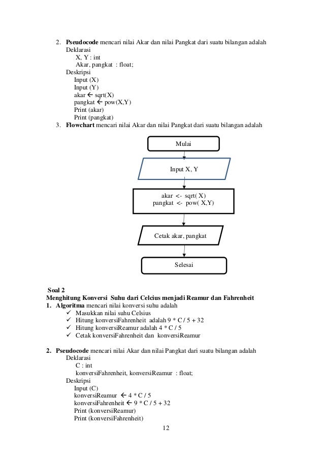
Contoh Flowchart Konversi Nilai - Job Seeker
Contoh Flowchart Konversi Nilai - Job Seeker via jopsiker.blogspot.com


Contoh Cerpen Untuk Anak Tk - Downlllll
Contoh Cerpen Untuk Anak Tk - Downlllll via downlllll.blogspot.co.id


Jenis-jenis karangan: Bahasa Indonesia
Jenis-jenis Karangan: Bahasa Indonesia via hairiyanasyari.blogspot.com


Contoh Cerpen Jalan Jalan - Gontoh
Contoh Cerpen Jalan Jalan - Gontoh via gontoh.blogspot.com


4 Cerpen Singkat Tentang Ibu yang Menyentuh Hati  CONTOH
4 Cerpen Singkat Tentang Ibu Yang Menyentuh Hati Contoh via contohnovelcerpen.biz


DAFTAR PUSTAKA ( Pengertian, Fungsi, Tujuan, Unsur, Urutan
Daftar Pustaka ( Pengertian, Fungsi, Tujuan, Unsur, Urutan via www.rankingkelas.com


Contoh Cerpen Hujan Kepagian - Wall PPX
Contoh Cerpen Hujan Kepagian - Wall Ppx via wallppx.blogspot.com


Contoh Cerita Novel Singkat - Contoh Yes
Contoh Cerita Novel Singkat - Contoh Yes via contohyes.blogspot.com


Contoh Z: Contoh Cerpen Liburan Bersama Keluarga {15}
Contoh Z: Contoh Cerpen Liburan Bersama Keluarga {15} via contohz.blogspot.co.id


Random Image


Related Posts To Contoh Cerpen Singkat Dan Unsur Intrinsik


Contoh Cerpen Singkat Dan Unsur Intrinsik Rating: 4.5 Posted by: Gilbert Low

Search Here

Popular Posts

Total Pageviews

Recent Posts